Türk Yapı Sektörü Raporu 2014 - page 151

İNŞAAT MALZEMELERİ SANAYİSİ › Gazbeton
|
151
2013 yılı verileriyle bakıldığında, Türkiye’de 6 kuruluşa ait top-
lam 11 adet gazbeton üretim tesisi bulunmaktadır. Bu kuruluşlar-
dan dördü, Türkiye Gazbeton Üreticileri Birliği üyesidir ve Tekirdağ
(2 adet), İstanbul, İzmir, Bilecik, Antalya, Kırıkkale, Kocaeli ve Ga-
ziantep’te olmak üzere toplam 9 fabrikada üretim yapmaktadırlar.
Türkiye Gazbeton Üreticileri Birliği’ne üye olmayan üreticiler, Mar-
din ve Kahramanmaraş’ta faaliyetlerini sürdürmektedir.
Türkiye’deki gazbeton üretim tesislerinde yaklaşık 1.350 kişi
doğrudan istihdam edilmektedir. Dolaylı istihdam ile birlikte bu
rakam, 2.750 kişiye yükselmektedir.
Avrupa Gazbeton Sanayisine Genel Bakış
Gazbeton, Avrupa’da üstünlüğünü kanıtlamış ve kabul görmüş
bir malzemedir. Bu açıdan gazbeton sektörü, teknolojik açıdan ulus-
lararası düzeyde deneyim ve bilgi birikimine sahiptir. Ülkemizde her
geçen yıl artmakta olan gazbeton üretimi beraberinde yatırım, istih-
dam ve ekonomik fayda getirmektedir.
Avrupa ülkelerinde kişi başına kullanılan gazbeton miktarı ince-
lendiğinde, Polonya’da 0,11 m³, İngiltere‘de 0,04 m³, Almanya’da ve
Türkiye’de ise 0,05 m³ olduğu görülmektedir. Gazbeton malzeme-
sine olan talep, her yıl düzenli olarak artış eğilimindedir. Önümüz-
deki yıllarda kalitesiz, standart dışı ve çevreyi korumayan ürünlerin
pazardan giderek çekilmesiyle birlikte, gazbeton malzemesine olan
talebin daha da artması beklenmektedir. Bu nedenle, Türkiye için kı-
sa vadede kişi başına gazbeton kullanım miktarının 0,07 m³ değeri-
ne ulaşması düşünülmektedir. Bu oran da ülkemizde, yıllık yaklaşık
5 Milyon m³ tüketim anlamına gelmektedir.
Bu çalışmada 2013 yılı sektör dataları kullanılarak, değerlen-
dirmeler yapılmıştır. Sektöre ait yıllık veriler, takip eden yılın ma-
yıs ayında yayımlanmaktadır. (2014 yılı verileri, 2015 mayıs ayın-
da kamuoyu bilgisine sunulacaktır).
Çevre dostu, yanmaz, depreme dayanıklı ve yüksek ısı yalıtım
özellikleriyle binalara katma değer sağlayan, modern dünyanın
duvar örgü malzemesi olarak ilk tercihi konumunda bulunan gaz-
beton; gözenekli hafif bir yapı malzemesidir. Bir tür hafif beton
olarak da bilinmektedir. Yapısındaki hava kabarcıklarının oluştur-
duğu gözenekli, yapı nedeniyle bu malzemeye gazbeton adı ve-
rilmiştir. Uluslararası dokümanlarda AAC (Autoclaved Aerated
Concrete) olarak anılmaktadır.
Gazbeton duvarlar, özel tutkalı ile örülmesinden ve blokların
büyük boyutlu olmasından dolayı, uygulamada kesintisiz ve düz-
gün yüzeyler elde edilmektedir. Duvar blokları, asmolen bloklar,
yalıtım plakları, kapı ve pencere lentoları, donatılı döşeme ve ça-
tı plakları, donatılı yatay ve düşey duvar elemanları, gazbeton
ürün yelpazesini oluşturmaktadır. Bu ürünlerin, yığma yapılarda
bloklarla ya da donatılı düşey duvar elemanlarla taşıyıcı duvarla-
rı, plaklarla kat döşemelerini oluşturmak, betonarme iskeletli bi-
nalarda cephe ve bölme duvarlarını, betonarme ve çelik taşıyıcı
sistemli sanayi yapılarında cephe duvarlarını, diyafram etkisi ya-
pabilen çatı döşemelerini düzenlemek gibi çok çeşitli kullanım
olanağı bulunmaktadır.
Binalarda gazbeton kullanılması sonucunda sağlanan yüksek
ısı yalıtımı, enerji verimliliği olarak ülkemize geri dönmektedir.
Ayrıca gazbetonun hafif bir duvar malzemesi olması nedeniyle
sağladığı deprem güvenliği, özellikle ülkemiz koşullarında önem
arz etmektedir. Aynı zamanda, A1 sınıfı yanmaz bir yapı malze-
mesi olan gazbeton, binalarda yangın güvenliğini de sağlamak-
tadır. Çevre dostu bir yapı malzemesi olan gazbeton, dünyaca
kabul edilen bir eko etiket olan 'Çevresel Ürün Deklarasyonu’na
(EPD) sahiptir.
Endüstriyel anlamda ilk kez İsveç’te başlayan gazbeton üre-
timi, Almanya’da geliştirilerek devam etmiştir. Türkiye’de gazbe-
ton, ilk olarak 1950’li yıllarda Almanya’dan ithal edilerek kulla-
nılmış, ilk gazbeton fabrikası ise 1965 yılında İstanbul’da üretime
başlamıştır. Gazbeton sanayi, ülke ekonomisine yılda yaklaşık
250 Milyon USD'lik katma değer sağlamaktadır.
Türkiye gazbeton sektöründe, 1990 yılında kurulan Türkiye
Gazbeton Üreticileri Birliği Derneği (TGÜB) faaliyet göstermekte-
dir. Birlik, Avrupa Gazbeton Üreticileri Birliği’ne (EAACA) üyedir.
SEKTÖR PROFILI
GAZBETON
Firma Sayısı
6 Firma /11 Üretim Tesisi
İstihdam
1.350/2.750
Üretim
4.3 Milyon m
3
Tüketim
3.6 Milyon m
3
İhracat
185 Bin m
3
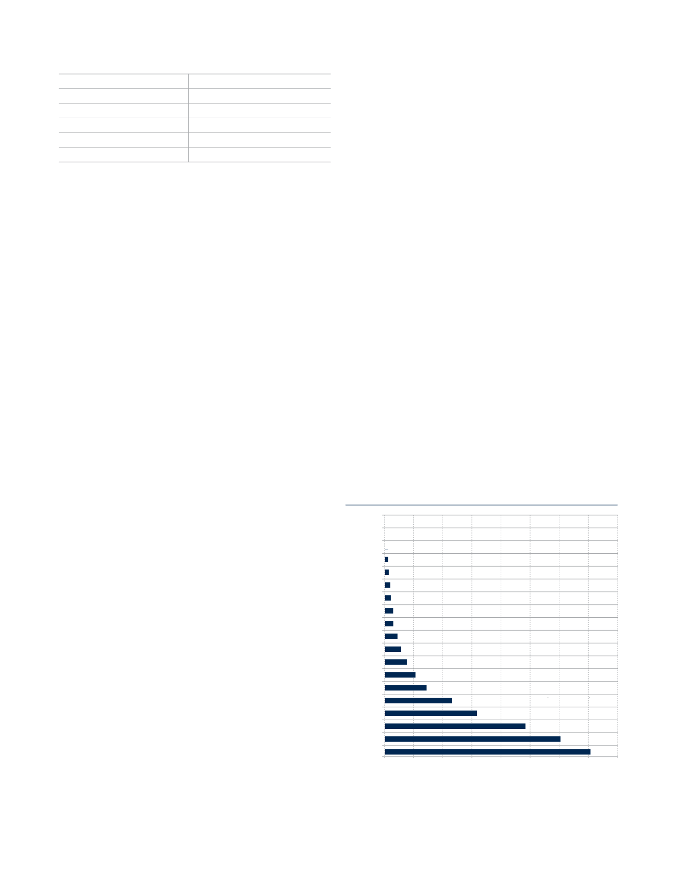
AVRUPA ÜLKELERİNDE 2013 YILI GAZBETON BLOK TÜKETİMİ (M
3
)
0
500.000
1.500.000
1.000.000
2.000.000
2.500.000
3.000.000
3.500.000
4.000.000
Finlandiya
İsveç
Danimarka
Estonya
Hollanda
Avusturya
Macaristan
Slovenya
Bulgaristan
Belçika
İsrail
Fransa
Slovakya
Çek
Romanya
İngiltere
Polonya
Türkiye
Almanya
30.000
50.000
105.000
231.700
585.000
1.785.000
40.000
64.000
148.209
302.889
800.000
2.730.000
50.000
90.300
150.000
416.257
1.300.000
3.416.070
4.000.000
Kaynak: Türkiye Gazbeton Üreticileri Birliği (TGÜB)
1...,141,142,143,144,145,146,147,148,149,150 152,153,154,155,156,157,158,159,160,161,...196
Powered by FlippingBook