Türk Yapı Sektörü Raporu 2014 - page 91

HİZMETLER › Finans
|
91
FINANSAL KIRALAMA VE İNŞAAT SEKTÖRÜ
İnşaat sektörü finansal kiralama sektöründen en çok iş ve in-
şaat makinelerinin kiralanmasında yararlanmaktadır. 2013 yılında
1.85 Milyar USD tutarında iş ve inşaat makinesi kiralama işlemi ya-
pılmıştır. Son dönemde artan kentsel dönüşüm projeleri iş makine-
leri sektörünü hareketlendirmiştir. İstif ve iş makineleri sektöründe
% 1 KDV uygulanmaya başlaması da kiralama işlerinin cazibesini ar-
tırmıştır. Kentsel dönüşüm projeleriyle hareketlenen iş makineleri
kiralama pazarında özellikle kule-vinç kiralamalarında büyüme hız-
lanmıştır. İnşaat sektöründe daha hızlı, güvenli ve işçi sayısını azal-
tan teknoloji donanımları olan yüksek kule-vinçler, artan oranda
talep görmekte ve finansal kiralamaya konu olmaktadır.
İnşaat firmaları, inşaat sektöründe ortaya çıkan dalgalanma-
lar nedeniyle finansal kiralamayı tercih etmeye başlamıştır. İş
makineleri üreticisi ve dağıtımcısı firmalar da finansal kiralama
işlemlerini sağladığı satış olanakları nedeniyle daha çok tercih
etmektedir.
Bu gelişmelere karşın 2014 yılında ise iş ve inşaat makineleri-
nin kiralama tutarında önemli bir gerileme ortaya çıkmıştır. 2013
yılının ilk dokuz ayında 1.45 Milyar USD tutarında kiralama yapıl-
mışken, 2014 yılının ilk dokuz ayında kiralama tutarı 1,16 Milyar
USD'ye gerilemiştir.
Son yıllarda gittikçe canlanan gayrimenkul ve inşaat piyasa-
sında pazarlamaya ve satışa yönelik yeni arayışlar çerçevesinde
finansal kiralama yöntemi ile devir (satış) giderek yaygınlaşmak-
tadır. İşyerleri ile villa benzeri nitelikteki gayrimenkullerin satışın-
da kullanılan finansal kiralama tutarı 2013 yılının ilk dokuz ayın-
da 870 Milyon USD iken 2014 yılının ilk dokuz ayında 1,46 Milyar
USD'ye yükselmiştir.
BANKA KREDILERI VE İNŞAAT SEKTÖRÜ
Bankaların inşaat sektörü şirketlerine sunduğu hizmetler di-
ğer sektörlerden daha yaygın ve önemli ölçektedir. Gayri nak-
di kredilerin doğru politikalarla verilmesi inşaat sektörünün ve
özellikle taahhüt firmalarının iç ve dış pazar rekabet gücünü doğ-
rudan arttırmaktadır. İnşaat sektöründe; 2014 yılında, hem nak-
di kredilerde hem de gayri nakdi kredilerde büyüme yeniden hız-
lanmıştır.
2014 yılının ilk dokuz ayı sonunda inşaat sektörünün yurtiçin-
den kullandığı nakdi krediler yıllık olarak % 27,3 artış göstermiş
ve 100,66 Milyar TL’ye ulaşmıştır. Gayrimenkul iş geliştirme sek-
törünün kullandığı krediler ise aynı dönemde yıllık % 53,3 artarak
57,7 Milyar TL olmuştur.
Yurtdışından kullanılan kredilerde ise artışlar inşaat sektörün-
de daha sınırlıdır. 2014 yılında inşaat sektöründe yurtdışında kulla-
nılan krediler son bir yılda % 3,9 artarak 7,12 Milyar USD'ye yüksel-
miştir. Gayrimenkul iş geliştirme sektöründe ise yurtdışı krediler
aynı dönemde % 50,7 artarak 5,4 Milyar USD'ye çıkmıştır.
İNŞAAT VE GAYRİMENKUL İŞ GELİŞTİRME SEKTÖRLERİNİN
KULLANDIĞI YURTİÇİ VE YURTDIŞI KREDİLER
DÖNEM
İNŞAAT
SEKTÖRÜ
TİCARİ
KREDİLER
(MİLYON TL)
İNŞAAT
SEKTÖRÜ
YURTDIŞI
KREDİLER
(MİLYON
USD)
GAYRİ
MENKUL
TİCARİ
KREDİLER
(MİLYON TL)
GAYRİ
MENKUL
YURTDIŞI
KREDİLER
(MİLYON
USD)
2011 Q1
39.937
7.508
23.502
3.840
2011 Q2
43.166
7.533
22.272
3.990
2011 Q3
48.226
7.373
26.828
3.920
2011 Q4
49.314
6,962
26.918
3.864
2012 Q1
51.535
6.737
26.981
4.015
2012 Q2
54.454
6.509
27.741
3.614
2012 Q3
58.403
6.685
29.537
3.280
2012 Q4
59.030
6.629
29.855
3.494
2013 Q1
63.821
6.443
32.169
3.423
2013 Q2
77.189
6.765
35.884
3.715
2013 Q3
79.096
6.853
37.656
3.589
2013 Q4
85.090
5.995
40.244
5.164
2014 Q1
93.936
6.185
50.184
5.258
2014 Q2
95.203
6.801
49.961
5.297
2014 Q3 100.660
7.123
57.731
5.408
Kaynak: Bankacılık Düzenleme ve Denetleme Kurumu
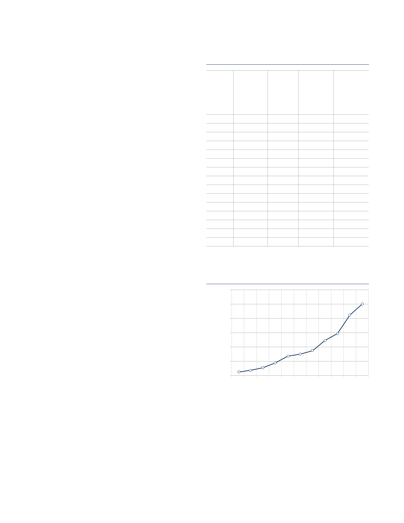
İNŞAAT SEKTÖRÜNÜN YURTİÇİNDEN KULLANDIĞI KREDİLER
(MILYON TL)
Kaynak: Bankacılık Düzenleme ve Denetleme Kurumu
120.000
100.000
80.000
60.000
40.000
20.000
0
2004
2005
2006
2007
2008
2009
2010
2011
2012
2013
2014/9
4.639
7.319
10.869
17.647
27.115
30.000
34.840
49.314
59.030
85.090
100.660
1...,81,82,83,84,85,86,87,88,89,90 92,93,94,95,96,97,98,99,100,101,...196
Powered by FlippingBook