Türk Yapı Sektörü Raporu 2014 - page 74

74
|
TÜRK YAPI SEKTÖRÜ RAPORU 2014
2013 ve özellikle 2014 yılında yatırımcıların risk alma eğilimi-
nin arttığı ve birinci sınıf varlıkların dışındaki gayrimenkul varlık-
larına da yatırım başladığı görülmektedir. Böylece yatırım hacmi
önemli ölçüde genişlemiştir.
Yerel ve Yakın Bölge Yatırımları Daha Çok Tercih
Ediliyor
Gayrimenkul sektöründe yatırımcıların güven ve beklentile-
rindeki iyileşme ile birlikte 2014 yılında yatırımcıların üçte ikisi-
ne yakını portföylerini büyütmüştür. Bununla birlikte gayrimen-
kul yatırımları yerel ve yakın bölgelerle sınırlı kalmaya devam
etmiştir. Yatırımcıların % 75’i sadece kendi piyasalarında yatırım
yaparken yatırımlarının % 50’sinden çoğunu sınır ötesi yapan ya-
tırımcıların oranı % 14’te kalmıştır. 2007 yılında sınır ötesi yatı-
rımların portföyler içindeki payı % 32 iken 2014 yılında % 21’e ka-
dar gerilemiştir.
Gayrimenkul Satın Alma Yatırımlarında En Hızlı
Büyüme Kuzey Amerika’da Gerçekleşti
2014 yılında küresel gayrimenkul yatırımları % 13 artarak 1,33
Trilyon USD'ye ulaşmıştır. En hızlı büyüyen pazar % 20 ile Ku-
zey Amerika pazarı olmuştur. 2014 yılında Kuzey Amerika paza-
rında 430,8 Milyar USD tutarında yatırım gerçekleşmiştir. ABD
ekonomisindeki hızlı büyüme gayrimenkul sektörüne de olumlu
yansımaktadır.
En yüksek gayrimenkul satın alma yatırımı ise gelişen Asya
pazarında 471,4 Milyar USD ile gerçekleşmiştir. Avrupa pazarında
da 2014 yılında küresel kriz sonrası iki haneli büyümeye ulaşılmış
ve 247,3 Milyar USD'lik yatırım gerçekleşmiştir.
DÜNYA GAYRİMENKUL SEKTÖRÜ
Küresel Kriz Sonrası En Hızlı Toparlanma 2014
Yılında Yaşandı
Küresel kriz ile birlikte gayrimenkul sektörü en çok etkilenen
sektörlerin başında gelmiştir. Krizin kaynağının konut finansman
sistemi olması ve konut ile gayrimenkul finansmanında yer alan
mali kurumların sıkıntıya düşmesi sonucu küresel gayrimenkul
sektörü 2008 ve 2009 yıllarında önemli ölçüde küçülmüştür.
2010-2012 yılları arasında küresel gayrimenkul sektörü toparlan-
ma çabası içinde olurken 2013 yılı bir dönüm noktası olmuş, iyi-
leşme 2014 yılında genele yayılarak hızlanmıştır. 2014, küresel
kriz sonrası dünya gayrimenkul sektöründe en hızlı büyüme yı-
lı olmuştur.
2013 ve özellikle 2014 yılında gayrimenkul satın alma yatı-
rımlarında önemli bir büyüme yaşanmış, buna bağlı olarak küre-
sel gayrimenkullerin varlık fiyatları da artmaya başlamıştır. He-
men tüm bölgelerde ve alt sektörlerde likidite geri gelmiş, arz ve
talep yeniden dengeye gelerek yatırım işlemleri artmıştır. Banka-
ların da gayrimenkul yatırımlarının finansmanı için ilk kez yeni-
den kredi hacmini genişlettiği görülmektedir. Risklerin azalması
ile birlikte getirilerde de bir normalleşme başlamıştır. Bu da yatı-
rımcıların yatırım iştahını arttırmaktadır.
2014 Yılında Gayrimenkul Satın Alma Yatırımları
1.33 Trilyon USD'ye Ulaştı
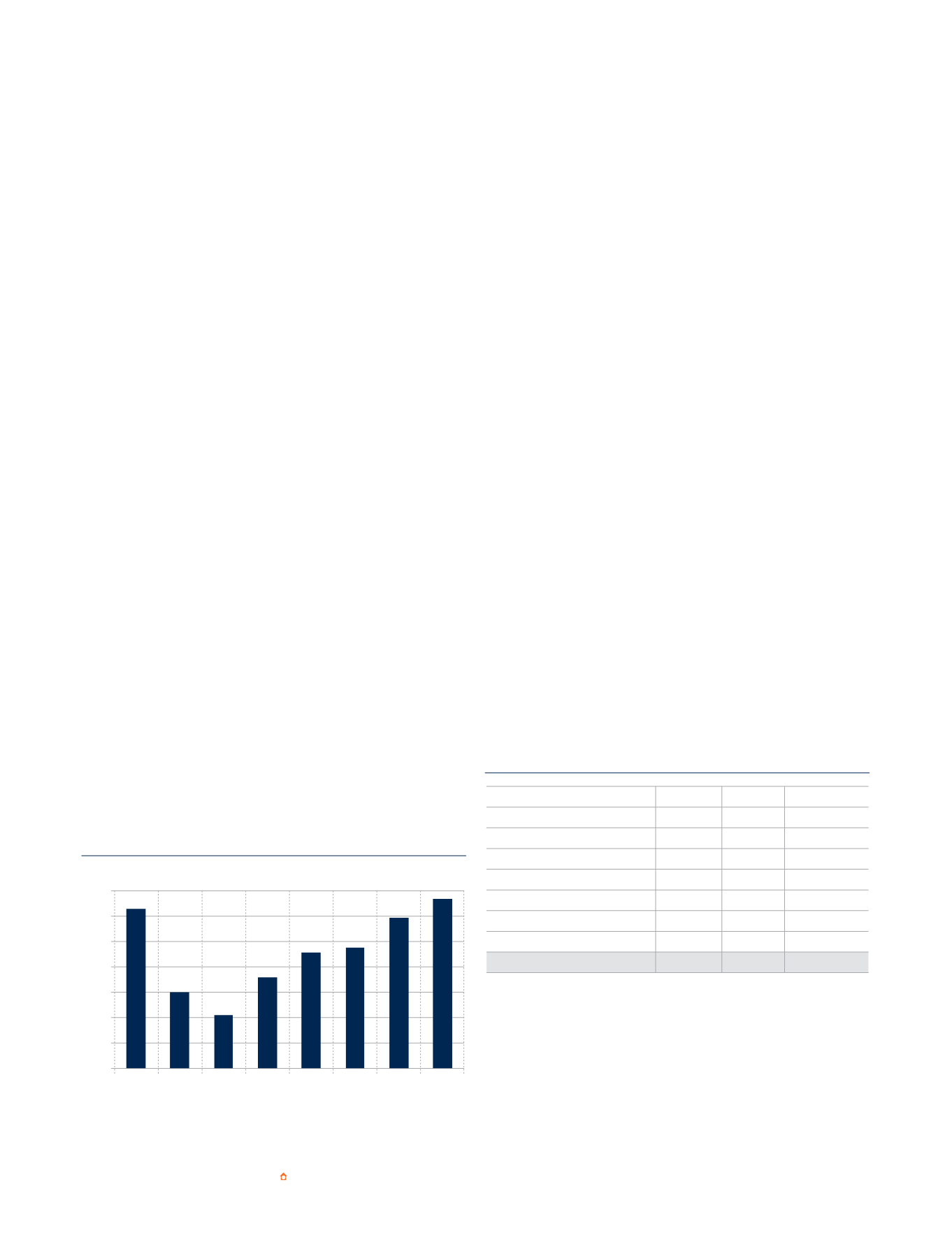
Küresel gayrimenkul yatırımları 2007 yılında 1,25 Trilyon
USD ile zirveye ulaşmıştı. Küresel kriz sonrası yaşanan hızlı da-
ralma ile yatırımlar 2009 yılında 410 Milyar USD'ye kadar ge-
rilemiştir. 2010 yılından itibaren küresel yatırımlar artmaktadır.
Küresel yatırımlar 2013 yılında 1,18 Trilyon USD olduktan son-
ra 2014 yılında 1,33 Trilyon USD ile 2007 yılının da üzerine çık-
mış olacaktır.
KÜRESEL GAYRİMENKUL YATIRIMLARI (SATIN ALMA)
(MİLYAR USD)
1.400
1.200
1.000
800
600
400
200
0
2011
2007
2012
2008
2013
2009
2014
2010
1.250
705
590
900
1.180
410
945
1.328
Kaynak: Cushman Wakefield International Investment Atlas 2014
KÜRESEL GAYRİMENKUL YATIRIMLARININ (SATIN ALMA) BÖLGESEL
DAĞILIMI (MİLYAR USD)
Kaynak: Cushman Wakefield International Investment Atlas 2014
BÖLGELER
2013
2014 DEĞİŞİM (%)
Batı Avrupa
216,9
247,3
14,0
Orta ve Doğu Avrupa
24,0
24,9
4,0
Ortadoğu ve Afrika
5,5
5,9
7,5
Latin Amerika
5,7
5,9
5,0
Kuzey Amerika
359,0 430,8
20,0
Gelişen Asya
432,5
471,4
9,0
Gelişmiş Asya
136,2
141,6
4,0
TOPLAM
1.179,6 1.327,8
13,0
Küresel gayrimenkul yatırımlarının ABD başta olmak üzere
gelişmiş ülkelerde arttığı görülmektedir. ABD, İngiltere, Almanya,
Fransa ve Avustralya’da yatırımlar önemli ölçüde artmıştır. Geli-
şen ülkelerde ise iki ayrı eğilim yaşanmaktadır. Meksika, Tayland,
BAE, Vietnam gibi ülkelerde büyüme görülürken Rusya, Çin, Bre-
zilya, Hindistan ve Endonezya'da yatırımlar gerilemiştir.
1...,64,65,66,67,68,69,70,71,72,73 75,76,77,78,79,80,81,82,83,84,...196
Powered by FlippingBook