Türk Yapı Sektörü Raporu 2014 - page 76

76
|
TÜRK YAPI SEKTÖRÜ RAPORU 2014
Avrupa’da ofis talebinde ilk kez hissedilen artış ile kiralar kü-
resel kriz sonrası yukarı yönlü hareket etmeye başlamıştır. İngil-
tere hızlı ekonomik büyümesi ile sürükleyici olmaktadır. Londra
ve Dublin ofis pazarları büyümede liderlik etmiştir. İngiltere ve
İrlanda’da yeni iş başlangıçları ofis talebini arttırmaktadır. Buna
bağlı olarak yeni arzlar da hareketlenmeye başlamıştır.
Küresel ofis pazarında 2013 ve özellikle 2014 yılının en belir-
gin özelliği, kira artışlarının yaşanmasıdır.
Asya’da 2014 yılında Japonya’da şirket kârlılıklarındaki artışla-
rın tetiklediği ofis talebi artışı yaşanmıştır. Hindistan’da teknolo-
ji ve hizmet firmalarında büyüme ofis talebini desteklemektedir.
Çin’de ekonomik yavaşlama ofis talebine gecikmeli olarak yansı-
maya başlamıştır. Singapur ve Filipinler'de de teknoloji, e-ticaret
ve uluslararası yatırımlar ile ofis talebi artmaktadır. Endonezya,
Malezya ve Tayland’da ise arz fazlası ofis pazarında aşağı yönlü
baskı yapmaya başlamıştır.
Rusya’da ofis yatırımları sürmektedir. Ancak Batı ile yaşanan
gerginlik ve yaptırımların ardından petrol fiyatlarındaki gerileme
ile yılın ikinci yarısı daha durağan geçmiştir. Özellikle Ruble’nin
değer kaybı kiralamalarda sıkıntı yaratmaktadır.
Küresel ofis pazarında 2014 yılında mevcut ofis stokuna en
yüksek yeni ofis stoku ilave eden şehirlerin başında ise 1.21 Mil-
yon m
2
ile İstanbul gelmektedir.
KÜRESEL OFIS PAZARI; 2014 KÜRESEL ÖLÇEKTE
BÜYÜME VE İYILEŞME YILI
Küresel ofis pazarı, 2014 yılında tüm alt sektörler içinde görece-
li olarak daha hızlı büyüyen ve yüksek yatırım çeken pazar olmuştur.
2014, ekonomik kriz sonrasında ofis pazarında iyileşmenin
küresel ölçekte yaygınlaştığı yıl olmuştur. Tüm bölgelerdeki ofis
pazarlarında arz, talep, kiralar ve getirilerde büyümeler yaşan-
mıştır. Ofis pazarında arz ve talebin dengelenmesi ile 2014 yılın-
da piyasa mekanizması daha sağlıklı çalışmaya başlamıştır.
ABD’de ekonomik büyüme ofis pazarında hızlı bir iyileşme
sağlanmaktadır. ABD’de 2014 yılında yeni ofis talebinde hızlı ar-
tışlar yaşanmıştır. Şirket kârlılıklarının artması, istihdamın önemli
ölçüde yükselmesi, daha nitelikli ve verimli ofis binalarına geçiş
ihtiyacı gibi unsurlar ofis talebini arttırmıştır.
ABD’de 2014 yılında ofis kiralarında ve getirilerinde önemli
artışlar başlamıştır. Kanada’da ABD’nin etkisi ile, Meksika’da Mek-
siko City’de ise yeni düzenlemeyle hızla artan yabancı sermaye
yatırımları etkisi sonucu ofis pazarında genişleme yaşanmaktadır.
Güney Amerika’da ise Şili Santiago hariç özellikle Brezilya ve Ar-
jantin’de durağan bir piyasa yaşanmıştır.
MERKEZİ İŞ ALANI İÇİNDE BİRİNCİ SINIF ORTALAMA OFİS KİRALARI
(M
2
) (USD) (AY)
ŞEHİRLER
2012
2014
Londra
68
94
Moskova
75
92
Singapore
72
89
Paris
78
88
Tokyo
95
83
Beijing
58
67
New York
52
63
Rio De Janerio
81
59
Mumbai
47
52
Washington
48
51
Frankfurt
38
51
İstanbul
39
45
Jakarta
30
43
Shenzhen
37
42
Chicago
33
34
Varşova
28
34
Montreal
29
33
Mexico City
28
28
Prag
20
27
Bangkok
22
26
Yeni Delhi
13
15
Kaynak: Global Office Forecast, Cushman Wakefield, 2014-2016
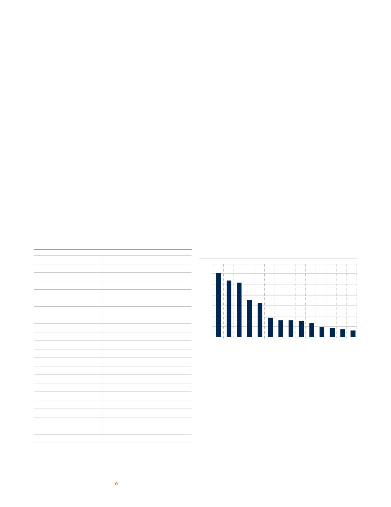
OFİS STOKUNDA BÜYÜME 2014 (BİN M
2
)
1.400
1.200
1.000
800
600
400
200
0
İSTANBUL
MOSKOVA
TOKYO
YENİ DELHİ
PEKİN
NEWYORK
VARŞOVA
MEKSİKO CİTY
LONDRA CİTY
ŞENZEN
PRAG
CAKARTA
PARİS
SİNGAPUR
1.214
1.069
1.032
701
641
363
311
303
258
179
162
138
112
305
Kaynak: Global Office Forecast, Cushman Wakefield, 2014-2016
Küresel Perakende Pazarı;
Tüketim Harcamalarındaki Büyüme, 2014 Yılında
Pazarı Destekledi
Küresel ekonomik krizin en önemli etkisi özellikle gelişmiş ül-
kelerde hanehalkı tüketim harcamalarının yavaşlaması şeklinde or-
taya çıkmıştır. Gelişmiş ve gelişen ülkelerde büyümenin yavaşla-
ması hanehalkı tüketim harcamaları ile perakende harcamalarını
sınırlamıştır. Bu gelişme küresel perakende gayrimenkul pazarını
da olumsuz etkilemiştir. Alışveriş merkezi yatırımları ötelenmiş ve
yavaşlamış, kiralar ve getiriler ile varlık değerleri düşmüştür.
1...,66,67,68,69,70,71,72,73,74,75 77,78,79,80,81,82,83,84,85,86,...196
Powered by FlippingBook